Экспертный блог 3 новость
Вычислительная гидродинамика в напорных трубопроводах
Герасютенко В. В., Рябинков А. И.
Современные задачи промышленной гидродинамики требуют высокой точности в расчетах распределения потоков в трубопроводных системах. Особенно это актуально при проектировании и эксплуатации средств измерения, таких как ультразвуковые и электромагнитные расходомеры. От точности измерений зависит эффективность эксплуатации оборудования, экономическая обоснованность решений и соответствие нормативным требованиям.
Одним из наиболее эффективных подходов к анализу сложных течений, особенно в присутствии местных гидравлических сопротивлений, является вычислительная гидродинамика. Применение методов численного моделирования позволяет с высокой степенью детализации исследовать распределения скоростей и давлений, возникающие в результате различных факторов — от геометрии трубопровода до наличия местных сопротивлений.
Статья посвящена применению методов вычислительной гидродинамики для построения трёхмерных векторных полей скоростей потока жидкости в напорных трубопроводах, что особенно важно при анализе влияния местных сопротивлений на работу приборов учёта. Полученные результаты дают не только наглядное представление о поведении потока, но и позволяют оптимизировать размещение измерительных приборов и повысить точность учёта.
Основы вычислительной гидродинамики
Вычислительная гидродинамика — это один из разделов механики сплошных сред, предназначенный для определения характеристик различных потоков, в том числе и потока жидкости в напорном трубопроводе. При течении по трубопроводу, в жидкости присутствует внутреннее трение, а также трение между жидкостью и стенками трубопровода. Это трение вызывает сопротивление движению жидкости и приводит к потере энергии ее потока. Данное сопротивление называется гидравлическим. Существуют два вида гидравлического сопротивления: сопротивление при неизменных характеристиках потока и сопротивление, которое возникает при изменении формы или направления движения потока. Последнее называется местным гидравлическим сопротивлением. Далее мы рассмотрим движение жидкости в напорном трубопроводе при наличии в нем различных местных гидравлических сопротивлений.
Методы определения векторных полей
Определение векторных полей скоростей потока жидкости в напорном трубопроводе при наличии в последнем различных местных гидравлических сопротивлений — непростая задача как для технической, так и для теоретической физики.
Для определения векторных полей с помощью прямых измерений необходимо проведение масштабных физических экспериментов, требующих больших финансовых и временных затрат. Полученный при этом результат будет зависеть от значения скорости потока, геометрических размеров трубопровода и значения вязкости рабочей жидкости, поэтому проведение подобных исследований в полном объеме вряд ли когда-нибудь станет возможным.
В то же время при теоретических исследованиях таких задач приходится сталкиваться с весьма сложными математическими моделями, аналитическое решение которых на данный момент невозможно.
Поэтому в настоящее время исследования различных частных задач гидромеханики проводятся в большинстве случаев с помощью методов вычислительной гидродинамики. Данные методы реализованы в ряде программных пакетов, но могут быть реализованы и с помощью самостоятельно написанных программ.
Математическая модель
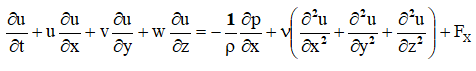
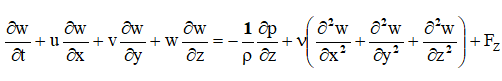
Основой всех методов вычислительной гидродинамики является модель течения анализируемой среды, которая строится на базе определенных уравнений. Уравнение Навье – Стокса и уравнение неразрывности вместе с начальными и граничными условиями образуют полную систему уравнений, с помощью которой можно описать движение жидкости в напорном трубопроводе при наличии в нем различных местных гидравлических сопротивлений:
Уравнение неразрывности

Уравнение движения по координате х

Уравнение движения по координате y

Уравнение движения по координате z

где u, v, w — компоненты вектора скорости вдоль осей x, y и z соответственно; р — давление; n и r — кинематическая вязкость и плотность жидкости соответственно.
Алгоритм решения
Приведенные уравнения представляют собой систему нелинейных дифференциальных уравнений в частных производных, решение которых в общем случае находится с помощью методов численного моделирования. В настоящее время разработано большое количество соответствующих методов, например, метод конечных разностей, метод конечных элементов, метод конечных объемов и др.
Несмотря на различные алгоритмы, все эти методы имеют общие этапы:
Определение геометрии анализируемого потока. В нашем случае это внутреннее пространство трубопровода, в котором протекает анализируемый поток жидкости (см. Рис. 1).

Рис.1. Тело анализируемого потока жидкости при его последовательном сужении и расширении.
Дискретизация пространства и времени. Дискретизация пространства достигается дроблением объема, занимаемого жидкостью, на ячейки сетки (см. Рис. 2). Сетка может быть однородной или неоднородной, структурированной или неструктурированной, состоящей из комбинации многогранных элементов: гексаэдрических, тетраэдрических, призматических, пирамидальных и др. В результате дискретизации времени процесс вычисления разбивается на заданные временные интервалы.


Рис. 2. Разбиение пространства, занимаемого жидкостью, на ячейки сетки. На верхней панели показан вид сетки на границе потока. На нижней панели показан вид сетки на продольном сечении анализируемого потока.
Задание граничных и начальных условий. В нашем случае это скорость и давление на входе и выходе потока из рассматриваемого участка трубопровода и на внутренней его поверхности.
Проведение вычислений. Для каждой ячейки построенной сетки составляется система линейных конечно-разностных уравнений в соответствии с уравнениями (1–4), которая решается последовательно, переходя от одной ячейки к другой, и итеративно с шагом, равным выбранному при дискретизации интервалу времени. В результате находят компоненты вектора скорости потока u, v, w и давление.
Применение: моделирование работы расходомеров
Данный подход позволяет построить трехмерные векторные поля скоростей потока жидкости в напорном трубопроводе в широком диапазоне его геометрических и физических характеристик при различных гидравлических сопротивлениях. На Рис. 3 показаны результаты построений трехмерных векторных полей скоростей потока воды и аммиака в напорном трубопроводе, при наличии в нем двух видов местных гидравлических сопротивлений: конфузора и диффузора, при различных скоростях потока.



Рис. 3. Поле скоростей потока воды в напорном трубопроводе при его последовательном сужении и расширении при скоростях потока 10,5 м/с (верхняя панель) и 0,01 м/с (средняя панель). Поле скоростей потока аммиака в напорном трубопроводе при его последовательном сужении и расширении при скорости потока 0,01 м/с (нижняя панель).
Целью построения полей скоростей потока жидкости является не только их визуализация. Знание значений скоростей в каждой точке анализируемого потока позволяет решить много разных задач. Например, смоделировать работу расходомера, который размещается на напорном трубопроводе и измеряет скорость потока жидкости в нем.
Методы измерения
Для измерения объемного расхода и объема рабочей жидкости, протекающей по напорным трубопроводам, используют различные методы, которые реализуются с помощью расходомеров. Рассмотрим акустический и индукционный методы.
Акустический метод
Акустический метод основан на векторном сложении скорости распространения ультразвуковой волны и скорости потока. Акустический импульс, посланный вверх по течению, распространяется с меньшей скоростью, чем импульс, посланный вниз по течению. Измерение времени прохождения импульсов в двух направлениях позволяет определить среднее по длине акустического луча значение скорости потока. В связи с тем, что акустический метод реализован в расходомерах, которые используют ультразвуковой диапазон частот, такие расходомеры называются ультразвуковыми.
Ультразвуковые расходомеры бывают однолучевые и многолучевые. В однолучевых расходомерах зондирование анализируемого потока происходит с помощью одного акустического луча, проходящего через ось трубопровода под определенным углом к ней. В многолучевых расходомерах акустические лучи, как правило, располагаются на хордах, отстоящих от оси трубопровода на определенных расстояниях.
Моделирование зондирования поля скоростей потока жидкости в напорном трубопроводе звуковым лучом возможно путем построения отрезка, имитирующего звуковой луч, т.е. путь прохождения акустического импульса внутри поля скоростей потока. Отрезок должен соединять места расположения двух ультразвуковых датчиков на внутренней поверхности трубопровода и проходить через ось трубопровода (см. Рис. 4) или располагаться на его хордах (см. Рис. 5). Тогда средняя скорость потока вдоль акустического луча будет определяться, как среднее значение поля скоростей в точках построенного отрезка.

Рис.4. Расположение отрезков (линии красного цвета), имитирующих зондирование анализируемого потока однолучевым ультразвуковым расходомером, установленным на разных расстояниях от входа потока жидкости в трубопровод.

Рис. 5. Расположение отрезков (линии желтого цвета), имитирующих различные способы зондирования анализируемого потока многолучевым ультразвуковым расходомером. На рисунках плоскость черного цвета проходит через ось трубопровода.
Индукционный метод
Индукционный метод измерения расхода базируется на законе электромагнитной индукции Фарадея, в соответствии с которым в электропроводящей жидкости, пересекающей магнитное поле, индуцируется электродвижущая сила, пропорциональная скорости движения жидкости. Данный метод реализован в электромагнитных расходомерах.
Вклад в результат измерения электромагнитных расходомеров вносит каждая точка жидкости, которая движется в магнитном поле расходомера, в зависимости от ее расположения относительно электродов расходомера и конфигурации магнитного поля расходомера. Поэтому моделирование работы электромагнитных расходомеров на напорных трубопроводах возможно путем вычисления взвешенных сумм значений скоростей найденного поля скоростей в объеме, создаваемого электромагнитным расходомером магнитного поля. Суммирование необходимо проводить с использованием весовых коэффициентов, значения которых зависят от положения точек жидкости, скорости которых суммируются.
Влияние распределения скоростей и необходимость прямых участков
Алгоритмы работы, как ультразвуковых, так и электромагнитных расходомеров, предусматривают проведение ими измерений в определенных условиях. Одним из главных условий является требование к распределению скоростей в анализируемом потоке. Распределение скоростей должно быть осесимметричным и иметь определенную форму в зависимости от числа Рейнольдса. В противном случае заявленная погрешность измерения скорости потока расходомером выполняться не будет.
При течении потока с неизменными характеристиками в протяженном напорном трубопроводе как раз и формируется, благодаря трению (т.е. гидравлическому сопротивлению прямого трубопровода), такое распределение скоростей. Однако, местные гидравлические сопротивления искажают форму этого распределения и, во многих случаях, довольно сильно. На Рис. 6 показано распределение скоростей потока в напорном трубопроводе вдоль отрезка, имитирующего звуковой луч однолучевого расходомера, на участке невозмущенного потока при двух режимах течения жидкости: турбулентном (левая панель) и ламинарном (правая панель).


Рис. 6. Распределение скоростей трехмерного поля скоростей потока в напорном трубопроводе вдоль отрезка, имитирующего звуковой луч однолучевого расходомера, на участке невозмущенного пото-ка, при Re = 64 000 (левая панель) и при Re = 64 (правая панель).
На верхней панели Рис. 7 показано трехмерное поле скоростей потока воды в напорном трубопроводе в области расположения местного сопротивления, клиновой задвижки при степени ее открытия, равной 50 %. На нижней панели Рис. 7 приведены распределения скоростей потока в напорном трубопроводе вдоль отрезка, имитирующего звуковой луч однолучевого расходомера, расположенного по потоку за местным сопротивлением параллельно (левая панель) и перпендикулярно (правая панель) движению клина задвижки. Из графиков показанных на Рис. 6 и 7 видно, как сильно может измениться распределение скоростей в потоке жидкости, текущей по напорному трубопроводу, если на этом трубопроводе будут расположены местные гидравлические сопротивления.После прохождения местного сопротивления поток жидкости вновь восстанавливает первоначальное распределение своих скоростей под действием гидравлического сопротивления прямого трубопровода. Поэтому, для того, чтобы обеспечить измерение скорости потока расходомерами с заявленными метрологическими характеристиками необходимо их устанавливать на трубопроводе на определенном расстоянии после местного гидравлического сопротивления. Определенные расстояния необходимо соблюдать и при установке расходомеров перед местными гидравлическими сопротивлениями, так как они искажают распределение скоростей как после, так и перед собой.
В расходометрии данные расстояния называют длинами прямолинейных участков и выставляют обязательное требование к их соблюдению.



Рис. 7. Поле скоростей потока воды в напорном трубопроводе в области расположения местного сопротивления, клиновой задвижки при степени ее открытия, равной 50 % (верхняя панель). Распределение скоростей потока жидкости в напорном трубопроводе вдоль отрезка, имитирующего звуковой луч однолучевого расходомера, расположенного по потоку за местным сопротивлением параллельно (левая нижняя панель) и перпендикулярно (правая нижняя панель) движению клина задвижки.
Заключение: значимость численного моделирования
Однако прежде чем устанавливать требования к прямолинейным участкам, необходимо определить их длину. Это необходимо выполнить для разных местных сопротивлений, для трубопроводов различных диаметров, для различных жидкостей, протекающих при разных скоростях, температурах и давлениях. Ввиду высокой сложности задачи, ее решение экспериментально в полном объеме в обозримое время вряд ли возможно. В этих условиях особую значимость приобретает применение методов вычислительной гидродинамики, позволяющих эффективно моделировать поведение потока в различных условиях.
В рамках настоящего исследования была наглядно продемонстрирована практическая ценность использования данных методов для решения поставленной задачи. Такой подход не только существенно упрощает процесс определения оптимальной длины прямолинейных участков, но и открывает новые перспективы в области оптимизации проектирования трубопроводных систем.
Последние новости
российский производитель